艺术品展览

纪念抗战胜利80周年主题作品展——李森

发表时间:2025-10-10 15:38:46作者:小编来源:网络

1-25091G64132N7.jpg

370105194905240316.jpg

1-25091G64401D5.jpg


       李森,笔名【肖石】鸟虫篆马鹰篆第六代传承人,获【扛旗世界纪录】之最,【联合国】奥林匹克优秀杰出金奖,特聘为【中央美院】,【清华美院】,【山东联大】客座敎授。中国书画交易润格评估中心特邀艺术【权威评估】顾问。道德经,金刚经各5162字,获中国版权2024年喜获中国最高兰亭金奖。

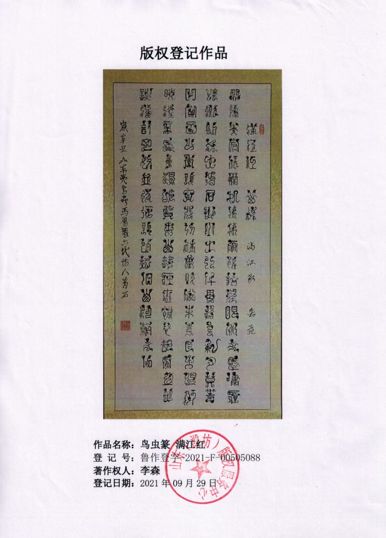
       扛旂世界纪录之最,鸟虫篆,马鹰篆始创者,保持者,拥有著作权证书数量最多者李森,笔名肖石。被中央美术学院,清华大学美术学院,山东联大特聘为客座敎授,负责鸟虫篆马鹰篆教学和研究。本祖鸟虫篆,马鹰篆非遗文化起源于道光五年,公元1825年。到了2025年整200周年的发展史。鸟虫篆是秦始皇统一六国,统一文字定为秦国八体之一,李斯大臣用鹤石壁(皇篆体)鸟虫篆体雕刻了秦始皇玉玺大印章,(受命于天,吉寿永昌)八个大字,为至高集权的象征。最值的提起的鸟虫篆,马鹰篆第六代传承人李森属牛,生于1949年,担任(中国孔子学院)常务副院长,担任(中国孔子书画家协会)副主席,将这非遗文化推向了一个扛旂世界纪录之最。用鸟虫篆和马鹰篆书法已获版权的有:曹操的(观沧海),(神龟寿),孔孑的(论语),楊慎的(临江仙),岳飞的(满江红),周兴嗣的(千字文),朱熹的(朱子家训),朱柏廬的(治家格言),(劝孝歌),范中淹的(岳阳楼记),苍颉的(二八字),(108字的成语),毛泽东的(清平乐,六盘山),(泌园春,雪),李森的(牛气冲天),(牛转乾坤),(竹报平安),(虎啸千里),(风景这边独好),(玖牛之力),(腾飞汗血宝马),(牧羊犬),(三羊开泰),(鹰击长空),(马上封猴),(龙腾虎跃),(鲤鱼跳龙门)。最值得一提的是(心经)和中华第一圣书(兰亭序),喜获中华人民共和国国家版权证书,根据(伯尔尼)世界公约179个缔约国承认为世界版权,受到世界知识产权保护。最近2021年11月24日第一幅马鹰篆书法(观沧海)诞生了,也喜获了马鹰篆著作权证书。(本祖马鹰篆书法在中国篆体书法中占有了一席之地),在马鹰篆领域中又是一个世界纪录始创者。到2022年5月19日共获32枚版权证书。2022年3月19日鸟虫篆(心经)(兰亭序)。马鹰篆(观沧海)等7幅作品被选编进(清末—2022年近当代中国美术史)文献巨著。紧接着词龙辛弃疾的(金粟如来出世)及词意创画被选编进(东亚文化之都)高峰论谈大16开精装画册。2023年3月24日被选编进中国美术出版社出版的(中国艺术传承大师)的巨著书中。2019年到2022年在中国美术家(官)网人气指数一直为第一名(榜首),2022年4月10日22点22分在中国美术家(官网)人气指数突破千万大观为第一名(榜首)保持三年的第一的业绩,到2023年10月打破两千万大观为榜首仍为第一名,保持四年第一的业绩。2022年7月21日(限量版珍藏邮册,文化强民族强)弘扬中华文化推动(一带一路)建设实现中华民族伟大复兴中国梦,给扛旂世界纪录之最,鸟虫篆马鹰篆始创,拥有,保持者李森先生印制了纪念章,纪念封,明信片,邮通卡,专属纪念票和邮票。鸟虫篆中国第一圣书【兰亭序】脱颖而出获得2024年【联合国奥林匹克优秀杰出金奖】并颁发奖状证书。2024年7月5162个字的【道德经】荣获兰亭金奖并加奖金杯一枚,代表最高荣誉。2024年8月19日获澳洲悉尼国际画展金奖,并授於【中外文化交流艺术名家】荣誉称号,2024年8月29日书写5162字【金刚经】也获版权证书。


1c038dd49b5375ab8124fd97958246b.png


c09f8dc4cfe6f71af022f401012dce2.png



9edc5db6f4b579cf966374ae6eb8c460.jpg

9c1459e3d716eb742ae484e3de172753.jpg

1-251010161Zb58.jpg

510a5f0e34e99f914778695d666f7d0c.jpg


44aca6d152985b3e6f6a4871bb3a3fdc.jpg


053e31180154a1a8af35f5104754871e.jpg


6f67e6a636ed916b134514502e0ec09a.jpg


b178475cafe64a036d95e0399a57221e.jpg


29bed14120ac65bb60061ecbb054be6.jpg

馆藏委书画艺术博物馆
首页                     艺博资讯                     组织机构                     藏品展示                     艺术品展览